Mathematik Klasse 5B - Freitag, der 30. April 2021

Hausaufgabenbesprechung und weitere Übung:

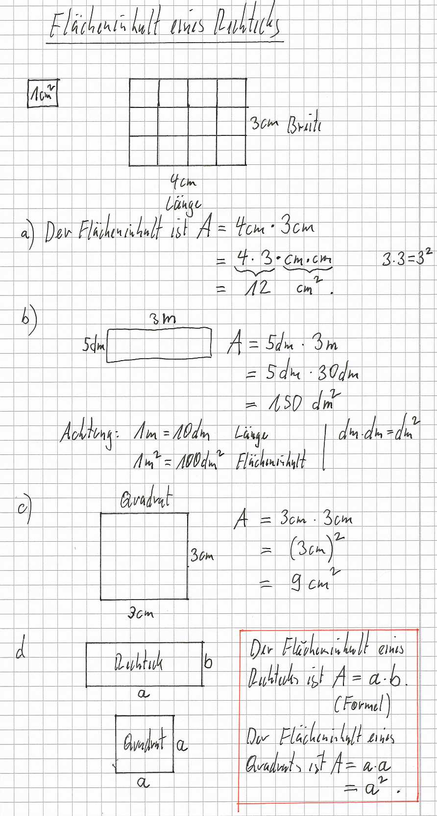
Flächeninhalt eines Rechtecks



Übung im Arbeitsheft


Hausaufgabe zu Montag, den 03.05.

Im Buch auf Seite 145 die Aufgaben 1 und 2.